假设,我们的观测来自于维欧式空间中的未知概率密度,希望估计出。根据之前对于局部性的讨论,让我们考虑包含的小区域。这个区域的概率质量是由

给出的。假设已经收集了服从分布次观测。由于每个数据点都有落在区域中的概率,所以位于区域内部的数据点的总数将服从二项分布

使用式(2.11),得到落在区域内部的数据点的平均比例为,同时引用式(2.12)得到这个均值的方差为。对于大的值,这个分布将会在均值附近产生尖峰,且

但是,如果同时假定区域足够小,使得在这个区域内的概率密度大致为常数,那么就有

其中的体积。结合式(2.244)和(2.245)得到密度估计的形式:

注意,式(2.246)的成立依赖于两个相互矛盾的假设,即区域要足够小,使得这个区域内的概率密度近似为常数,但是也要足够大(关于密度的值),使得落在这个区域内的数据点的数量足够让二项分布达到尖峰。

有两种方法来利用式(2.246)的结果。可以固定然后通过数据中确定的值,这就是马上就要讨论的K临近算法。也可以固定然后通过数据中确定的值,这就是核方法。可以证明,在极限下,如果 随着而合适地收缩,且随着增大,那么近邻密度估计和核密度估计都会收敛到真实的概率密度(Duda and Hart, 1973)。

先详细讨论核方法。首先,我们把区域取成以想确定概率密度的点为中心的小超立方体。为了统计落在这个区域内的数据点的数量,定义函数

会比较方便。这表示一个以原点为中心的单位立方体。函数是核函数的一个例子。在这个问题中也被称为Parzen window。从式(2.247),如果数据点位于以为中心的边长为的立方体中,那么量等于1,否则它的值为0。位于这个立方体内的数据点的总数为:

把这个表达式代入式(2.246),可以得到点处的概率密度估计

其中使用了维边长为的立方体的体积公式。使用函数的对称性,可以重新解读这个等式为以个数据点为中心的个立方体的和,而不是解读为以为中心的一个立方体。

核密度估计(2.249)和之前的直方图方法一样会碰到人为带来的非连续性的问题。这个是由密度估计中立方体的边界带来的。如果我们选择一个平滑的核函数,那么就可以得到一个更加光滑的模型。一个常用的选择是高斯核函数,它给出

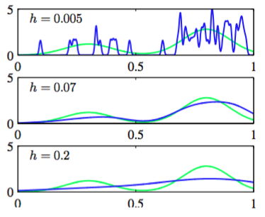
核概率密度模型。其中表示高斯分布的标准差。这个密度模型是通过使每个数据点服从高斯,然后把它们的贡献加起来得到的,之后除以,使得概率密度被正确的标准化。图2.25中展示了把模型(2.250)应用于之前用来说明直方图方法的数据集上的图像。

图 2-25
图 2.25 核密度模型的例子

看到,和我们期望的一样,参数担当平滑参数的角色,且需要在,小的会造成模型对噪声过于敏感,而大的会造成过度平滑间做一个权衡。同样的,对的优化是一个模型复杂度的问题,类似于直方图密度估计中对于箱子宽度的选择,也类似于曲线拟合问题中的多项式阶数。

要满足条件:

可以任意选择公式(2.249)中的核函数。这确保了最终求得的概率分布在处处都是非负的,且积分等于1。式(2.249)给出的这类密度模型被称为核密度估计,或Parzen估计。它的一个很大的优点是:因为“训练”阶段只需要存储训练集即可,所以它不需要进行“训练”阶段的计算。然而,这也是一个巨大的缺点,因为评估密度的计算代价随着数据集的规模线性增长。

results matching ""

    No results matching ""